ندى دياب

ندى دياب

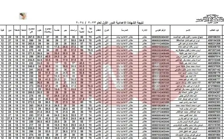
مدارس البترول بعد نتيجة الصف الثالث الاعدادي الترم الثاني 2025: فرص واعدة ومستقبل مهني مميز

مع إعلان نتيجة الصف الثالث الاعدادي الترم الثاني 2025، يبدأ الكثير من الطلاب وأو...

نتيجة الصف الثالث الاعدادي برقم الجلوس والاسم الترم الثاني 2025 محافظة المنوفية عبر البوابة الالكترونية

يعيش طلاب وطالبات الصف الثالث الاعدادي وأولياء أمورهم في محافظة المنوفية حالة من...

رابط مباشر.. نتيجة الصف الثالث الاعدادي برقم الجلوس والاسم الترم الثاني 2025 في المحافظات

تشهد الساحة التعليمية اليوم موعدًا حاسمًا لطلاب الصف الثالث الاعدادي، مع الإعلان...

رابط نتيجة الصف الثالث الاعدادي برقم الجلوس 2025 الترم الثاني محافظة الغربية.. نتيجة ثالثة إعدادي با...

مع إقبال طلاب وطالبات الصف الثالث الإعدادي في محافظة الغربية على انتظار رابط نتي...

نتيجة الصف الثالث الاعدادي محافظة المنيا 2025 برقم الجلوس والاسم الترم الثاني عبر موقع وزارة التربية...

نتيجة الصف الثالث الإعدادي محافظة المنيا 2025 للترم الثاني بشكل رسمي عبر موقع وز...

رابط نتيجة الصف الثالث الاعدادي برقم الجلوس والاسم الترم الثاني 2025 في محافظة الغربية عبر الموقع ال...

أعلنت محافظة الغربية رسميًا عن رابط نتيجة الصف الثالث الإعدادي للفصل الدراسي الث...

نتيجة الصف الثالث الإعدادي برقم الجلوس 2025 محافظة المنيا الترم الثاني | استعلم الآن بالاسم أو رقم ا...

يتزايد بحث الطلاب وأولياء الأمور عن نتيجة الصف الثالث الإعدادي الترم الثاني 2025...

رابط نتيجة الصف الثالث الاعدادي محافظة الشرقية الترم الثاني 2025 برقم الجلوس والاسم عبر البوابة الال...

أعلنت وزارة التربية والتعليم عن رابط نتيجة الصف الثالث الاعدادي محافظة الشرقية ا...

نتيجة الصف الثالث الاعدادي برقم الجلوس والاسم الترم الثاني 2025 محافظة الأقصر عبر الموقع الرسمي

مع اقتراب ظهور نتيجة الصف الثالث الاعدادي الترم الثاني 2025 في محافظة الأقصر، با...

نتيجة الصف الثالث الاعدادي الترم الثاني 2025 محافظة الفيوم برقم الجلوس والاسم عبر الموقع الرسمي

أعلنت محافظة الفيوم عن نتيجة الصف الثالث الاعدادي الترم الثاني 2025 عبر الموقع ا...

نتيجة الصف الثالث الاعدادي برقم الجلوس 2025 محافظة الدقهلية عبر بوابة التعليم الأساسي بمديرية التربي...

تشهد محافظة الدقهلية حالياً حالة من التركيز والتفاعل الكبير مع نتيجة الصف الثالث...

نتيجة الصف الثالث الاعدادي الترم الثاني 2025 برقم الجلوس والاسم بمحافظة الجيزة عبر الموقع الرسمي

يترقّب طلاب الصف الثالث الاعدادي وأولياء أمورهم في محافظة الجيزة إعلان نتيجة الص...

نتيجة الصف الثالث الاعدادي الترم الثاني 2025 محافظة بني سويف برقم الجلوس والاسم عبر موقع الوزارة

في متابعة مستمرة لعملية إعلان نتيجة الصف الثالث الإعدادي الترم الثاني 2025 محافظ...

نتيجة الصف الثالث الاعدادي برقم الجلوس والاسم الترم الثاني 2025 محافظة سوهاج عبر موقع المديرية التعل...

يترقب طلاب الصف الثالث الاعدادي وأولياء أمورهم في محافظة سوهاج إعلان نتيجة الصف ...

نتيجة الصف الثالث الاعدادي الترم الثاني 2025 محافظة البحيرة برقم الجلوس والاسم عبر موقع مديرية الترب...

يترقّب آلاف الطلاب وأولياء الأمور في محافظة البحيرة نتيجة الصف الثالث الاعدادي ا...

نتيجة الصف الثالث الاعدادي برقم الجلوس 2025 محافظة الشرقية نتيجة ثالثة إعدادي بالاسم الترم الثاني

يترقّب آلاف الطلاب وأولياء الأمور في محافظة الشرقية الإعلان الرسمي عن نتيجة الصف...